活性红紫 KN-R
C.I.18096
更新时间:2022-04-21
编辑次数:0次
编辑者:数库1.1
中文名
活性红紫 KN-R
英文名
Reactive Red Violet KN-R
别 名
C.I.Reactive Violet 4; Reactive Red Violet 2RT; Simactive Red Violet 24999;
CAS
12769-08-3
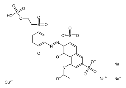
化学式
C20H14N3O15S4.Cu.3Na
分子量
797.09
密 度
暂无
沸 点
暂无
EINECS
暂无
闪 点
暂无
信号词
危害声明
警示性声明
危险品运输编码
包装等级
危险类别
海关编码
外观性状
红光紫色粉末。在水中有较好的溶解性。
稳定性
制法/工艺 以2-氨基-4-(2-硫酸酯乙基砜基)苯甲醚和乙酰 H 酸为原料,首先将前者重氮化,再与后者偶合,最后用硫酸铜络合即得产物。经盐析、过滤、干燥得成品。
储存条件
主要用途
活性红紫 KN-R 适用于棉织物的染色,得红光紫色,可在纤维素纤维织物上直接印花,可以拔白。
常规包装
运输
产品描述
本数据整理信息仅供参考,如有不符,欢迎修改数据
